来源:球探体育比分网 发布时间:2024-03-12 浏览量:
各班级、各同学:
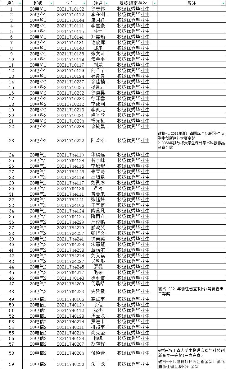
根据《温州大学优秀毕业生评选办法》(温大行政发[2020]104号),按照学校初次分配名额,根据前期进行2024届校级优秀毕业生的预评选,推荐 20电科1 徐志伟 等59名同学获得校级优秀毕业生荣誉称号,现将名单进行公示。

请上述同学于3月14日16:00前填写下方收集表
【腾讯文档】电气球探足球 -2024年校优名册
//docs.qq.com/form/page/DRlJSWnJkdGZYTW9r
公示期:2024年3月12日-2024年3月14日
公示期内如对所公示有异议或问题,请个人于2024年3月14日16:00之前将信息反馈,反馈信息要清楚明确,有理有据,以便及时处理。
联系人:陈老师 办公室1A-519
电话:0577-86689070
球探体育比分网 学工办
2024年3月12日